非隔离开关变换器有四种基本拓扑结构,用于DC/DC变换器。
(1)降压拓扑结构。降压式典型如下图所示。当开关管VT1导通时,VD1截止,输入的整流经VT1和L向C充电,这一使L中的储能增加。当开关管VT1截止时,L感应出左负右正的电压,经RL和续流二极管VD1释放电感L中存储的能量,维持输出直流电压不变。电路输出直流电压的高低由加在VT1基极上的脉冲宽度确定。

这种电路使用元器件少,它同下面介绍的另外两种电路一样,只需要利用电感、和二极管即可实现。降压变换器将输入电压变换成较低的稳定输出电压。输出电压(Uo)和输入电压(Ui)的关系为

式中:D为占空比。
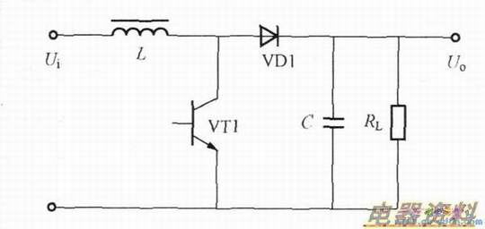
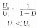
(2)升压拓扑结构。升压式开关稳压电路如下图所示。当开关管VT1导通时,电感L储存能量。当开关管VT1截止时,电感L感应出左负右正的电压,该电压叠加在输入电压上,经二极管VD1向负载供电,使输出电压大于输入电压,形成升压式开关。

升压变换器将输入电压变换成较高的稳定输出电压。输出电压和输入电压的关系为

(3)逆向拓扑结构。逆向变换器将输入电压变换成较低的输出电压。输出电压与输入电压的关系为
(4)反转式拓扑结构。反转式开关电源典型电路如下图所示。这种电路又称为升降压式开关电源。无论开关管VT1之前的脉动直流电压高于或低于输出端的稳定电压,电路均能正常工作。

当开关管VT1导通时,电感L储存能量,二极管VD1截止,负载RL靠C上的充电电荷供电。当开关管VT1截止时,电感L中的电流继续流通,并感应出上负下正的电压,经二极管VD1向负载供电,同时给电容C充电。
反转式变换器将输入电压变换成稳定反相较低值或较高值输出电压(电压值取决于占空因数)。输出电压和输入电压的关系为
